行業資訊
您現在的位置: 上海自動化儀表有限公司 > 新聞發布 > 行業資訊
淺談上海自動化儀表有限公司的質量流量計如何計算
來源:上海自動化儀表有限公司作者:發表時間:2018-12-24 08:48:43【小中大】
上海自動化儀表有限公司的質量流量計的測量優于過程應用中的體積流量的測量,其中質量平衡(監測過程的質量進入和離開的速率)是重要的。體積流量測量表示流體流速,以每分鐘加侖數或每秒立方米數表示,質量流量計測量值總是以實際質量單位隨時間表示流體流速,例如每秒磅數(質量)或每分鐘千克數。下面來看看上海自動化儀表有限公司的質量流量計如何計算。
上海自動化儀表有限公司的質量流量計測量的應用包括貿易交接(通過其質量購買或出售流體產品),化學反應過程(反應物的質量流速必須保持精確的比例,以便發生所需的化學反應),和蒸汽鍋爐控制系統(其中蒸汽蒸汽的流出必須通過等量的液態水流入鍋爐來平衡 - 這里,蒸汽和水流量的體積比較將是無用的,因為一立方英尺的蒸汽肯定是與一立方英尺水不同的H 2 O分子數量)。
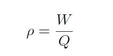
如果我們希望計算質量流量計而不是體積流量,則方程式變化不大。流體樣本的體積(V)和質量(m)之間的關系是其質量密度(ρ):

同樣,體積流量(Q)和質量流量計(W)之間的關系也是流體的質量密度(ρ):

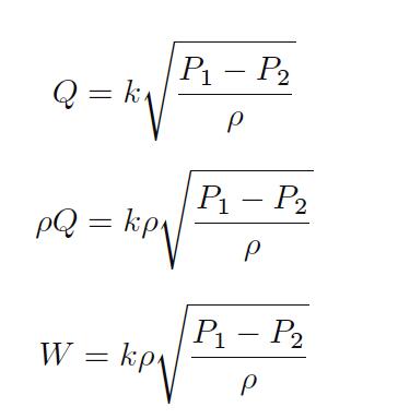
在這個等式中求解W導致我們得到體積流量和質量密度的乘積:

使用通用公制單位的快速尺寸分析檢查證實了這一事實。通過將每立方米千克質量密度乘以每秒立方米的體積流量,可以得到以千克/秒為單位的質量流量計:

因此,我們所要做的就是將我們的一般體積流量方程轉化為質量流量計方程,將兩側乘以流體密度(ρ):

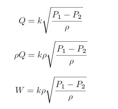
如果沒有必要,在等式中多次顯示相同的變量通常被認為是“不優雅的”,所以讓我們嘗試使用代數來鞏固兩個密度(ρ)。首先,我們可以寫ρ作為兩個平方根的乘積:
圖5
接下來,我們將最后一個激進分解為兩個獨立平方根的商:

現在我們看到一個平方根ρ項如何抵消分數分母中的一個:

在一個方程式中有多個基因組也被認為是“不優雅”,因此我們將重新編寫我們的方程式以進行美學改進:

與體積流動方程一樣,為了獲得任何特定流動元素的合適k值,我們所需要的是從服務中的真實元素獲取的一組值,以我們期望的任何測量單位表示。
例如 :
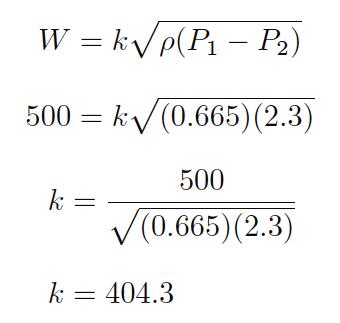
如果我們有一個文丘里管,在質量流量計為每分鐘500千克的石腦油(一種密度為0.665千克/升的石油產品)下產生2.30千帕(kPa)的壓差,我們可以求出k值這個文丘里管如此:

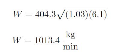
現在我們知道k值為404.3將產生每分鐘通過該文丘里管的液體流量千克,給定壓力(kPa)和密度(千克/升),我們可以很容易地預測通過該管的質量流量計以獲得任何其他壓降和我們可能遇到的流體密度。k的值404.3與我們的不同測量單位有關:

與體積流量計算一樣,k的計算值可以很好地說明我們可以任意選擇的任何一組測量單位。關鍵是首先要知道流速,壓降和密度之間的比例關系。一旦我們將該比例與從特定流量元素中實驗收集的特定數據集合起來,我們就可以在我們選擇的測量單位中將所有變量正確地相關聯。
如果我們碰巧在流過海水(密度= 1.03千克/升)的同一文丘里管上測量6.1千帕的差壓,我們可以使用相同的方程式(k因子為404.3)非常容易地計算質量流量計:

如需了解更多產品詳細信息,可咨詢上海自動化儀表有限公司分廠導航里的上海自動化儀表九廠欄目頻道。
上海自動化儀表有限公司推薦資訊
- 如何有效地使用萬用表測量以獲得準確的讀2018-09-21
- 雙針雙管壓力表2017-12-08
- 如何正確確定用于線性閥門的電動執行機構的2018-09-18
- 購買雷達物位計時要考慮的5件事2019-10-14
- 上海自動化儀表有限公司中標百萬機組分散控2019-02-28
- 針對氣體質量流量計的三個類型以及各自好處2019-01-23
- 朱域弢總經理訪問西南各合作單位為提高中國2017-12-22
- “迎難而上” 上自儀合資企業大華千野連續2023-01-30
上海自動化儀表有限公司熱門產品
- 牽手社區——開展招聘共促就業新舉措2025-03-24
- 如何在多點熱電偶和PLC之間建立連接2020-01-04
- 鈦合金防腐熱電偶2018-03-01
- XBJ系列大型圓圖自動平衡記錄(調節)儀2018-04-11
- 稱重技術在需要卓越的穩健性和精度的情況下2018-05-14
- 培訓員工為什么是電動調節閥安全至關重要的2019-10-16
- 淺談不同類型閥門的特征綜述2018-12-28
- SUPMAX 分散控制系統(下)2023-03-27

