行業資訊
您現在的位置: 上海自動化儀表有限公司 > 新聞發布 > 行業資訊
電磁流量計為設計合理的導流筒提供理論依據
來源:上海自動化儀表有限公司作者:發表時間:2018-04-16 10:52:10【小中大】
通過ICEM CFD軟件將局部截面變為橢圓形的異徑導流筒進行了三維建模, 使用Fluent對不同入口速度下的流線場與速度分布進行仿真計算, 建立了不同結構的導流筒所適用的速度范圍.結果表明, 速度的大小和橢圓截面離心率對流場產生的影響較大.當速度減小或離心率變大時, 導流筒尾部漸擴管容易發生回流, 致使流場紊亂.本研究能為橢圓形管道電磁流量計的結構設計提供參考方案, 為設計合理的導流筒提供理論依據.
電磁流量計是工業過程中用于計量導電性流體體積流量的儀表, 當前國內使用大多電磁流量計為圓形截面導流筒.然而, 電磁流量計對被測管道內的流場有一定的要求, 流場的不穩定會使得流量計示值不穩定, 致使測量誤差加大[2-3].為了解決這些問題, 上海自動化儀表有限公司提出橢圓形截面管道設計方案.
目前關于異徑導流筒的研究報道并不多。上自儀公司等把電磁流量計的導流筒進行局部縮徑, 并將不同形態的截面加入設計.劉習鋒[5]在市政給水工程中, 把異徑管加接在傳感器的前后, 使得導管內局部流速升高, 這樣不僅使供水企業能對用水量進行精確計算, 還可為市政節約一筆計量裝置的費用.劉鐵軍, 宮通勝等研究了導流筒為矩形截面的電磁流量計, 認為該結構的導流筒可提高勵磁效率.陳寅佳等認為矩形截面電磁流量計的精確度與功耗均能滿足設計要求, 因而確定了異徑導流筒電磁流量計的設計可行性。
上海自動化儀表有限公司針對橫截面為不同離心率橢圓形的導流筒, 對在不同入口速度下流場的流動性與速度分布進行Fluent仿真研究, 欲為設計合理的導流筒提供理論依據.
1、異徑管結構的電磁理論分析:
電磁流量計是基于法拉第電磁感應定律而開發的計量儀表[8].通電后的勵磁線圈在導流筒垂直方位產生磁感應強度為B的工作磁場, 待導電流體穿過時, 在液體兩側產生感應電動勢E, 通過對相應的電動勢進行信號處理而實現體積流量的準確測量.感應電動勢大小為

式 (1) 中:B為工作磁場中的磁感應強度;V為導電液體流速;D為測量導管內徑.
導電流體的速度V與工作磁場內的磁感應強度B都是有方向性的矢量, 但各質點的速度為非均勻分布, 當流體的流速很小時, 會產生很小感應電動勢, 與噪音混合后使得測量誤差增大, 從而影響到設備的穩定性和可靠性.其中E的數值由電極測量, 單位時間內管道流量計算公式為

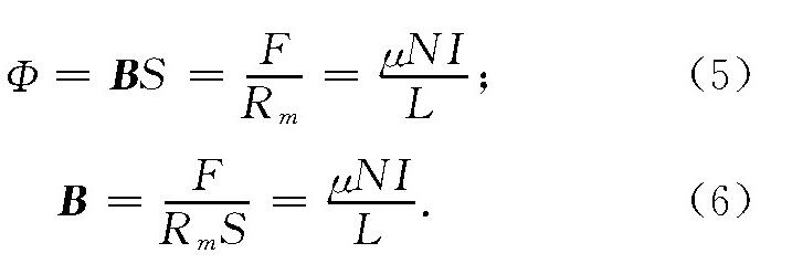
在電磁流量計的勵磁線圈中, 電流為I, 匝數為N, 穿過工作區域的磁路長度均值為L, 可得磁阻Rm與磁通勢F為

式中S為磁路的平均面積, μ為介質磁導率.由磁場歐姆定律[9]可得磁通量Φ

由 (6) 式可知, 磁感應強度B與磁路長度平均值L成反比, 與通過勵磁線圈的電流I成正比.相比起均勻的圓形管道, 橢圓導流筒內的工作磁場縮小了L值, 在產生同等磁感應強度B的條件下, 勵磁線圈中的電流將小于前者, 從而可降低電磁流量計的功耗.
2、Fluent模型建立與參數設置:
使用ICEM CFD建立橢圓截面導流筒的模型.導流筒的中間部分為橢圓管, 兩側均為橢圓形漸變為圓形的漸擴管.導流筒半長軸與X軸平行, 長度35mm, 半短軸與Y軸平行, 長度28mm, 短長半軸之比為4/5, 橢圓離心率為0.60, 長88mm.兩端漸擴管最外側圓形的半徑為50 mm, 各長81mm.導流筒總長250mm.該模型的對象為在中間直管段具有均勻磁場分布的橢圓截面管道的電磁流量計.
將導流筒兩端分別定義為出口與出口.流體在入口邊界以固定速度垂直與入口邊界流入, 在出口邊界自由流出, 忽略重力.定義其他區域為壁面, 最后以四面體結構對模型進行網格劃分, 如圖1所示.單元格數量為204萬, 網格質量評價系數為:0.65~0.70 (2.5%) ;0.70~0.90 (8.6%) ;0.90~1.0 (86.2%) .該三維模型網格質量能夠滿足精度和收斂要求.文中其它結構的三維模型網格, 其類型與上述一致, 網格質量基本相同.

設置模型為k-epsilon湍流模型, 模擬對象為液體水, 仿真將以入口流速分別為小流速0.1m/s、0.3m/s與大流速5.0m/s的條件下進行.
3、速度場仿真結果分析:
以不同進口速度對該結構導流筒進行流場仿真, 求解后使用軟件提取數據.由于磁場方向平行于Y軸, 故圖2至圖15是在選取了與Y軸垂直的XOZ坐標平面, 并觀察速度云與流線分布圖, 計算結果如下.
3.1、小流速下的仿真分析:
取流入速度為0.1 m/s、0.3 m/s, 設置仿真計算的迭代步數為300, 過程中分別在第211步、第186步時計算結果收斂, 流量計流道區域內可視為穩態的定常流動.管內速度云圖如圖2、圖3, 流線圖如圖4、圖5.

圖2 入口速度為0.1m/s的速度云圖

圖3 入口速度為0.3m/s的速度云圖
由圖2、圖3可知, 在進口速度為0.1m/s與0.3m/s條件下, 速度云圖無明顯差別, 平面直管段的速度分布的上下對稱性較高, 靠管壁速度小, 中間大, 出口流體向兩側流動, 中間區流速小.

圖4 入口速度為0.1m/s的軌跡圖

圖5 入口速度為0.3m/s的軌跡圖
如圖4、圖5, 當入口速度為0.1m/s時, 末端發生回流現象, 但中間直管段流場平穩, 沒有受到尾部回流影響.當初始速度增加為0.3m/s時尾部的回流減弱.
3.2、大流速下的仿真分析:
設置進口速度為5.0 m/s, 設置仿真計算的迭代步數為300, 過程中在第96步計算結果受斂, 可視為定常流動.速度云圖如圖6.

圖6 入口速度為5.0m/s的速度云圖
中間直管段內靠管壁處速度小, 中間大, 速度分布的上下對稱性較高.在圖7中, 當流速增加為5.0m/s時, 中間直管段與尾部漸擴管的流場非常平穩, 無回流現象.

圖7 在5.0m/s下速度云圖
綜合圖4、圖5、圖7可見, 隨著流體速度增加, 回流減弱.綜合3.1與3.2, 流道域內均為穩態的定常流動, 且流場平穩, 速度分布對稱性較高, 故該結構的電磁流量計在大小流速條件下的使用均是可行的.
4、離心率對流場的影響:
4.1、 離心率為0.8:
中間橢圓截面直管段短長半軸之比為3/5, 離心率0.8.分別定義入口速度為0.1 m/s、5.0m/s, 在此條件下使用Fluent進行模擬計算, 過程中分別在第263步、192步時計算結果收斂, 可視為定常流動.結果如圖8至圖10.

圖9 入口速度為0.1m/s的軌跡圖

圖10 入口速度為5.0m/s的速度云圖
入口速度為0.1m/s時 (圖8、圖9) , 中間直管段內靠近但不接觸管壁的位置流速大, 中間小.速度分布的上下對稱性較高, 流道域尾部出現回流現象, 但中間直管端的流場依然平穩.當入口速度增加至5.0m/s時 (圖10、圖11) , 中間直管段內速度分布基本均勻, 尾部回流消失, 流場整體平穩.

圖11 入口速度為5.0m/s的軌跡圖
縮徑為0.8離心率的橢圓截面電磁流量計在初始流速為0.1m/s與5.0m/s條件下均為穩態流動, 速度分布對稱, 直管內流場平穩, 那么該結構導流筒的電磁流量計在大小流速條件下的使用均是可行的.
4.2、離心率為0.916:
半長軸長35mm, 半短軸長14 mm, 短長半軸之比2/5, 離心率0.916.分別設置入口速度在0.1m/s、5.0m/s的條件下通過Fluent進行模擬仿真, 設置計算迭代步數為1 000, 過程中各點的速度值隨時間產生無規律變化, 無法收斂.圖11至圖14為步數等于1 000時瞬時結果的抓取.

圖12 入口速度為0.1m/s的速度云圖

圖13 入口速度為0.1m/s的軌跡圖
由圖12、圖13可知, 當入口速度為0.1m/s時, 導流筒內速度分布無明顯規律, 存在較大的流場畸變.因為導流筒兩側產生的感應電動勢與流速成正比, 且流量計是根據流速值計算出一定時間內通過管道的體積流量, 所以在非穩態流場條件下流量計檢測到的是大小搖擺不定的感應電動勢, 為體積流量的計算造成許多不確定因素, 還降低了計量精確度.
設置流入速度為5.0m/s, 計算過程中第117步收斂, 流場可視為達到穩定狀態.如圖14、圖15所示, 流場分布平穩, 中間直管段內速度場分布基本均勻, 與其它結構導流筒在該速度下的分布無明顯區別.綜合圖12至圖15可知, 截面離心率變為0.916時的導流筒在入口速度增大到一定值后, 流場穩定.

圖14 入口速度為5m/s的速度云圖

圖15 入口速度為5.0m/s的軌跡圖
5、不同結構導流筒所適應的速度區間:
在完成不同結構導流筒在小流速與大流速情況下的仿真之后, 對入口流速分別為0.03 m/s、0.5m/s、0.8m/s、1m/s、3m/s的條件下進行模擬計算.以流場速度分布為判據, 得出了不同結構橢圓管所適應的速度區間.由表1可知:截面離心率為0.600和0.800的橢圓形導流筒的速度均適用于大流速與小流速, 而截面離心率為0.916的導流筒卻不適用于小流量的條件, 當該結構導流筒的入口流速達到0.8m/s及以上時, 內部流場分布才被接受.雖橢圓變扁, 磁路長度平均值L減小, 致使所需勵磁電流I減小, 降低了設備功耗, 但縮徑量過大會犧牲測速量程, 導致量程下限升高, 小流量的狀態下不再適用。

表1 不同結構導流筒所適應的測速區間
6、結論:
上海自動化儀表有限公司針對局部變為橢圓形截面的異徑導流筒進行了模擬仿真計算.得出結論如下:
1) 減小磁路長度平均值L, 在產生同等磁感應強度B的條件下, 可減小勵磁線圈的電流I, 從而提升流量計的靈敏度, 降低功耗.
2) 當橢圓離心率增大到一定值時, 尾部漸擴管便會出現明顯的回流現象, 致使流量計量程下限升高, 不再適用于低速計量.
3) 入口速度對管內速度場的影響頗為重要, 大流速在導流筒各部位的流場較平穩, 小流速則容易發生回流現象, 隨著入口速度降低, 回流更顯著.
4) 離心率為0.8的橢圓截面導流筒可最大條件下滿足縮徑和流場要求, 該尺寸適合在流量計中使用.
上海自動化儀表有限公司推薦資訊
- 公司的過濾閥適用于極端溫度的高性能隔膜2018-01-10
- 磁翻柱(板)液位計出現紅白相間的情況該怎么辦2017-12-15
- 偏心旋轉調節閥的主要問題以及如何進行故障2019-10-12
- 電動執行機構的趨勢第2部分 - 新應用,物聯網2019-01-26
- 上自儀公司新型的測試和測量儀器便于設備測2017-12-26
- 如何直接或間接測量質量流量以及部分質量流2018-09-29
- 選擇偏心旋轉調節閥需要知道的5個因素2019-09-19
- 用于監測發電廠渦輪機性能的溫度、壓力和流2019-04-19
上海自動化儀表有限公司熱門產品
- 循環硫化床耐磨熱電阻2018-03-06
- 球閥和閘閥那個的密封性更好?2018-07-31
- 關于電磁閥故障排除提示細節解說2019-08-01
- 微差壓變送器的3個預防性維護提示2019-10-17
- 為您應用選擇正確壓力傳感器時應該考慮的82019-09-20
- 帶您了解如何查找氣動調節蝶閥中的泄漏2019-10-29
- 針對極冷閥門“凍結”而設定的解決方案2018-02-28
- 使您的電動執行機構長期運轉的一些預防性維2019-12-18

