行業資訊
您現在的位置: 上海自動化儀表有限公司 > 新聞發布 > 行業資訊
基于PID調節儀的預期錯誤和衍生模式的分析
來源:上海自動化儀表有限公司作者:發表時間:2019-02-14 08:47:11【小中大】
上海自動化儀表有限公司在本文中主要分析了PID調節儀的預期錯誤和衍生模式具體的詳情。
在P動作的描述中,PID調節儀作用于擾動對CV的初始影響。然而,最初揭示出發生干擾可能是一個小的CV偏差,但是,如果允許隨著時間的推移完全發展,它可能演變為一個很大的值。完全發展的CV偏差,而不是初始指示,表示導致CV開始偏離的干擾的幅度。通過微分作用,控制器將根據預期誤差采取比例作用,而不僅僅是CV偏差的初始顯示。問題是如何預測預期的誤差,干擾的完全發展結果?
如果過程是線性的并且對擾動具有一階響應,那么e將如何響應擾動變化Δd的模型是:

預期的e值是穩定的,完全發展的預期值。
請注意,如果擾動可以測量并且處理增益對干擾是已知的,則è 預期可以從計算d(ΔD)= E 預期。然而,這些往往是無法測量和未知的。幸運的是,等式(1)揭示了可以基于當前致動誤差及其變化率來估計預期的未來誤差,其值已經由控制器已知。

等式(2)沒有規定干擾是什么。偏差可能表明包括MV在內的幾種干擾的匯合。等式(2)被稱為“引導”,應該是熟悉的。它代表了投球手必須做的事情,讓一個跑動的目標接球。當球到達時,球必須被扔到接球手所在的位置。基于所述P-動作PI控制器, 預期是:

當將等式(2)代入等式(3)并重新排列時,對預期誤差具有P動作的PI控制器是經典的PID關系。
雖然方程(4)看起來像微積分及其∫edt和(d e / dt)表示,但積分實際上只是遞增更新的和,并且導數將從數值方法計算((e new -e old)/ Δt),這又是簡單的算術減法和除法。
PD動作相當于預期誤差的P動作。無論是否使用D動作,仍然需要對偏置I動作進行增量調整以消除穩態偏移。

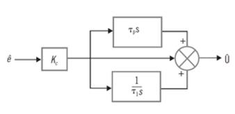
圖1.標準PID調節儀
PID調節儀的這個框圖使用拉普拉斯變換表示法,其中s表示將輸入的導數帶到功能塊的操作,1 / s表示集成輸入。
如果過程測量有噪聲,則數值導數會放大噪聲影響。而且,如果流程響應相對較快,則無需使用預期的錯誤概念。因此,只對無噪聲和慢速演化過程使用D-action。
在框圖表示法中,PID調節儀(基于預期誤差的P控制器和用于消除穩態偏移的增量調整的PI控制器)如圖1所示。該圖使用拉普拉斯變換符號,其中s表示對將輸入的導數帶到功能塊,1 / s表示集成輸入。但是,再次,無論用于描述函數的符號或微積分詞都是簡單的算術運算。
上海自動化儀表有限公司推薦資訊
- 選擇正確壓力傳感器測量油箱液位的注意事項2019-08-05
- 球閥和閘閥那個的密封性更好?2018-07-31
- 97-41000氣動套筒調節閥2018-03-31
- 上海自儀、上海核工程研究設計院有限公司聯2023-03-15
- 上海自動化儀表有限公司全面為您分析電磁閥2018-12-06
- 全面闡述腰輪流量計的應用、安裝、優點和缺2020-01-03
- 燃煤發電廠以最大限度降低閥門啟動成本、2018-11-21
- 如何應對磁致伸縮液位計發展機遇的重搓性轉2017-12-15
上海自動化儀表有限公司熱門產品
- 壓力傳感器在確定用于工業自動化之前要考慮2019-02-16
- 手持式靶式流量計市場技術創新發展2017-12-16
- 全面解說關于稱重傳感器的基礎內容2019-02-23
- 絕緣監測儀2018-01-06
- 公司全新的控制器在迪拜獲得最佳制造商獎項2018-01-08
- 公司的數字式齒輪泵驅動器新的簡易查看技術2017-12-27
- 幫助您確定維修或更換刮板流量計的3個步驟2019-09-30
- 為您重點概述壓力控制器有故障的6個跡象2019-10-15

