行業資訊
您現在的位置: 上海自動化儀表有限公司 > 新聞發布 > 行業資訊
簡要分析轉子流量計的組成、工作方式及其優缺點
來源:上海自動化儀表有限公司作者:發表時間:2020-01-11 13:28:59【小中大】
上海自儀有限公司轉子流量計是用于測量流體流量的流量計,它基于流體和重力施加的上推力原理,施加在浸沒物體上的浮力等于由物體排出的液體的重量。在此原理下,轉子流量計與浮錐管系統一起工作,它是世界上最常用的流量計之一。

組成:

轉子流量計由錐形管和內部的浮子組成。根據目的,玻璃錐形管在其表面上具有刻度尺或與其相鄰放置刻度尺。
1.錐形管
錐形管垂直放置在內部呈圓錐形的流道中,所測量的量由上升的浮標高度定義。玻璃管用于液體和氣體的測量,金屬管用于高溫高壓的過程流體。
2.浮子
通常使用不銹鋼浮子,有從鉛到鋁的各種金屬用作浮子。考慮到密度,漂浮材料的形狀也根據應用而變化。
工作方式:

流體從錐形管的底部進入,然后一些流體直接撞擊到浮子的底部,而另一些流體則通過浮子。現在浮子受到兩個相反方向的力,向上的浮力和向下的重力。流體流動使浮子克服重力向上運動。在某個點,流動面積達到了一個點,在該點上,浮體上的壓力產生的力與浮子的重量完全匹配。當浮球周圍的區域產生足夠的阻力等于重量(浮力)時,浮球將達到平衡。由于浮子的重量和重力是恒定的,向上移動的距離浮子與流過錐形管的流體的流速成正比。
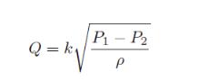
測量原理:

但是,此應用程序的區別在于,由于壓力差將保持恒定并且流體密度也可能會保持恒定,所以轉子流量計內部的值是恒定的。因此,k將與Q成比例地變化,k內與浮子位置相關的唯一變量是浮子和管壁之間的流動面積。
優點:
—無需外部電源
—簡單可靠的設計
—可以測量液體或氣體流量
—比例近似線性
—它可以測量腐蝕性流體的流量
—更好的范圍
—低成本和低壓降
缺點:
—應該垂直安裝
—并需要襯里安裝
—測量不確定度
—難以處理的玻璃類型
上海自動化儀表有限公司推薦資訊
- 蝶閥的四大組件及其特點與操作綜述2019-02-02
- 嘉定區人大常委會副主任等一行蒞臨上海橫河2023-02-11
- 平凡崗位淬煉“工匠精神” ——記上自儀七2023-02-13
- 全面概括爐頂熱電偶維護的5個重要好處2019-10-30
- 電接點壓力表損壞的8個警告標志2019-10-10
- 現在有一系列適用于要求苛刻的應用的微型溫2018-01-16
- 上海電氣副總裁兼自儀公司董事長徐子瑛參加2025-04-08
- 重點解說關于控制閥類型及其應用2019-04-27
上海自動化儀表有限公司熱門產品
- 公司黨委與寶鋼股份硅鋼部黨委簽訂共建協議2023-03-20
- 關于科里奧利質量流量計測量密度的研究方案2019-01-12
- 從上海自動化儀表有限公司的經濟分析和頂部2017-12-23
- 如何選擇食品和飲料加工中的氣動執行機構2019-09-24
- 溫度變送器當前市場分析以及五年后市場和技2018-12-19
- 電壓表2018-01-06
- 鎧裝防爆熱電阻2018-03-06
- QFH空氣過濾減壓器2018-04-08

